CJSU a stabilit scenariile de funcționare pentru instituțiile de învățământ din județul Hunedoara
Prefectul județului Hunedoara, Călin Petru Marian, a convocat astăzi Comitetul Județean pentru Situații de Urgență, care a aprobat Hotărârea nr. 16, privind scenariile de funcționare pentru instituțiile de învățământ din județul Hunedoara.
Prevederile Hotărârii nr. 16 din 05.02.2021 a CJSU Hunedoara sunt:
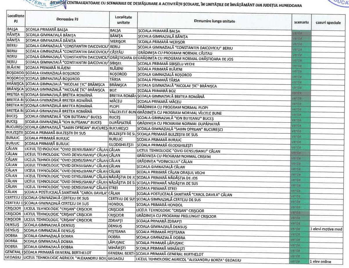
Art. 1 (1) Se aprobă, începând cu data de 08.02.2021 reluarea activităților care impun prezența fizică a preșcolarilor și elevilor în unitățile de învățământ din județul Hunedoara, conform anexei care face parte integrantă din prezenta hotărâre, prezentată în fotografiile acestei informări.
(2) Prezența fizică a preșcolarilor și elevilor în unitățile de învățământ se realizează, după următoarele scenarii:
| Scenariul 1
(VERDE) |
Participarea zilnică a tuturor preşcolarilor şi elevilor în unităţile de învăţământ, cu respectarea şi aplicarea tuturor normelor de protecţie | Incidența cumulată în ultimele 14 zile a cazurilor din localitate mai mică sau egală cu 1/1000 de locuitori | ||||
|
a)Participarea zilnică, cu prezență fizică în unitățile de învățământ a tuturor preşcolarilor şi elevilor din învăţământul primar, a elevilor din clasele a VIII-a şi a XII-a, a XIII-a, și a celor din anii terminali din învățământul profesional și postliceal, cu respectarea şi aplicarea tuturor normelor protecţie
b)Participarea zilnică, în sistem on line a elevilor din celelalte clase/ani de studiu |
Incidența cumulată în ultimele 14 zile a cazurilor din localitate este mai mare de 1/1000 dar mai mică sau egală cu 3/1000 de locuitori. | ||||
|
a)Participarea zilnică a tuturor preşcolarilor şi elevilor din învăţământul primar.
b)Participarea zilnică, în sistem on line a elevilor din celelalte clase/ani de studiu |
Incidența cumulată în ultimele 14 zile a cazurilor din localitate este mai mare de 3/1.000 locuitori |
(3) În situații justificate de infrastructură și resursele existente, unitățile de învățământ/unitățile conexe pot desfășura activități didactice în sistem on-line cu aprobarea Inspectoratului Școlar Județean Hunedoara.
(4) Stagiile de pregătire practică pentru elevii din învățământul liceal tehnologic, postliceal, profesional și profesional dual se desfășoară cu prezența fizică a elevilor, cu respectarea procedurilor privind măsurile de protecție instituite de către entitățile organizatoare de stagii de pregătire practică și prevederile ordinului nr. 3235 – 93 din 04.02.2021 al MEC și MS, indiferent de scenariul epidemiologic.
Art. 2 (1) Se aprobă, începând cu data de 08.02.2021 reluarea activităților care impun prezența fizică a studenților din instituţiile de învăţământ superioare din județul Hunedoara.
(2) Înainte de data începerii cursurilor universitare, în funcţie de situaţia epidemiologică, de particularităţile locale, de infrastructura, de specificul programelor de studiu şi de resursele umane ale fiecărei instituţii de învăţământ superior în parte, conducerea acesteia, cu consultarea senatului universitar, stabileşte aplicarea unuia dintre scenariile de organizare şi desfăşurare a activităţilor didactice, după cum urmează:
|
Participarea fizică în instituţia de învăţământ superior a tuturor studenţilor/cursanţilor la toate activităţile didactice, conform programului de desfăşurare a acestora, cu respectarea şi aplicarea tuturor normelor de protecţie. | |||||
|
Participare in sistem mixt – prezenta fizica si online, in functie de specificul programelor de studiu, de infrastructura si de conditiile epidemiologice, conform procedurilor proprii fiecarei universitati. | |||||
|
Participarea tuturor studenţilor/cursanţilor la activităţi didactice online |
Art. 3. Direcția de Sănătate Publică Hunedoara informează Inspectoratul Școlar Județean, respectiv Senatul Universitar al Instituției de Învățământ Superior, înainte de reluarea cursurilor, după vacanțele școlare/universitare precum și pe parcursul anului școlar/universitar cu privire la situația epidemiologică la nivelul localitățiilor, respectiv rata incidenței determinată de numărul total de cazuri noi din ultimele 14 zile, raportat la 1000 de locuitori;
Art. 4. Unitățiile/instituția de învățământ preuniversitar/conexe în baza situației epidemiologice la nivelul localitățiilor, respectiv rata incidenței determinată de numărul total de cazuri noi din ultimele 14 zile, raportat la 1000 de locuitori, stabilesc și propun scenariul de funcționare, prin consiliul de administrație al unității;
Art. 5. Avizarea Scenariului de funcționare al unității/ instituției de învățământ preuniversitar/conexe se realizează de către Inspectoratul Școlar Județean, respectiv Direcția de Sănătate Publică Hunedoara, pe baza propunerilor consiliul de administrație al unității de învățământ;
Art. 6 (1) – Inspectoratul pentru Situaţii de Urgenţă ”Iancu de Hunedoara” al judeţului Hunedoara va comunica prezenta hotărâre, Departamentului pentru situaţii de Urgenţa, Inspectoratului General pentru Situaţii de Urgenţă, membrilor Comitetului Judeţean pentru Situaţii de Urgenţă Hunedoara şi tuturor primăriilor din judeţ, prin grija secretariatului tehnic permanent.
(2) – Comitetele Locale pentru Situații de Urgență vor asigura măsuri de monitorizare și de respectare a aplicării scenariilor de funcționare a unităților de învățământ de pe raza unității administrativ teritoriale.






